Free Access

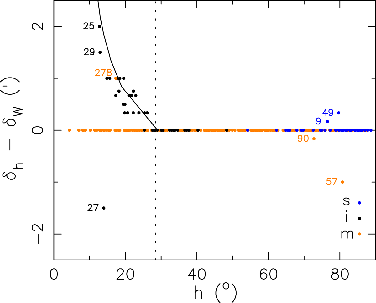
Fig. 1.

image

Difference between the declination δh computed from the altitude with Eqs. (7)–(9) and the declination δW listed in Manuscript for ϕG = 51° 19′. With few excaptions, the computations are exact for superior and southern culminations. The values δh from inferior culmination are systematically too high for low altitudes. Values for which δh ≠ δW are labelled with W for those entries for which only one altitude is listed, and for W 9. The solid curve gives the refraction RR according to Rothmann. Stars to the right of the vertical dashed line have R = 0, according to Rothmann.

Current usage metrics show cumulative count of Article Views (full-text article views including HTML views, PDF and ePub downloads, according to the available data) and Abstracts Views on Vision4Press platform.

Data correspond to usage on the plateform after 2015. The current usage metrics is available 48-96 hours after online publication and is updated daily on week days.

Initial download of the metrics may take a while.