Free Access

Fig. 2.

image

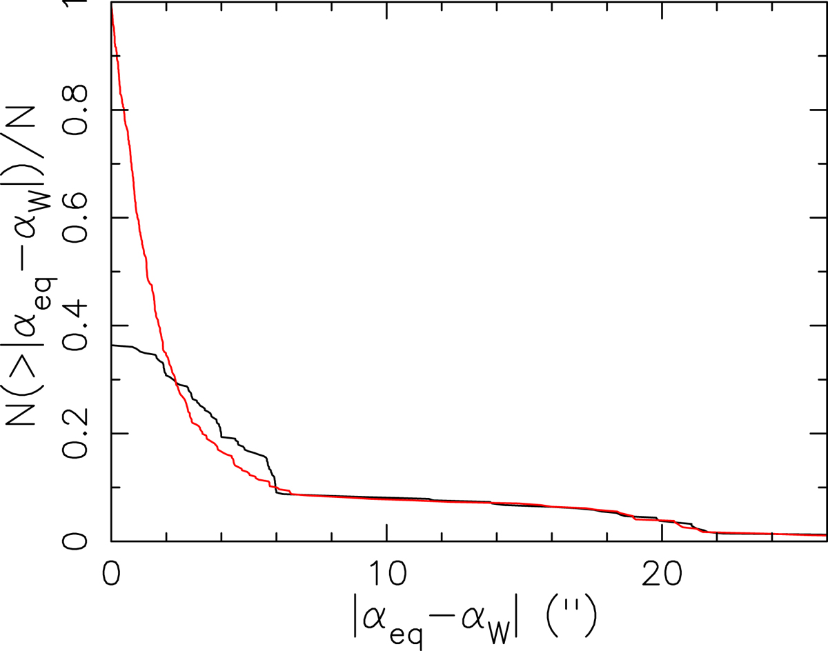
Complement of the normalised empirical cumulative distribution function ECDF, i.e. 1−ECDF for the absolute values of the differences between the right ascension αeq computed with Eq. (11) and the catalogued right ascension αW. Red: vertical axis for the exact values αeq. Black: for the values αeq rounded to the nearest allowed integer of Sα.

Current usage metrics show cumulative count of Article Views (full-text article views including HTML views, PDF and ePub downloads, according to the available data) and Abstracts Views on Vision4Press platform.

Data correspond to usage on the plateform after 2015. The current usage metrics is available 48-96 hours after online publication and is updated daily on week days.

Initial download of the metrics may take a while.