Free Access

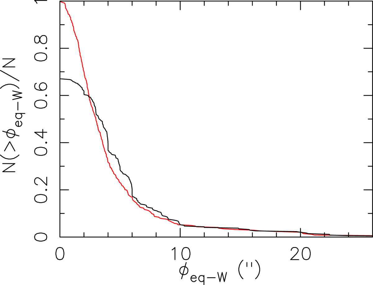
Fig. 3.

image

Complement to the normalised empirical cumulative distribution function, i.e. 1-ECDF, of the differences ϕeq − W between the catalogued position and the position computed with Eqs. (12) and (13). Red: vertical axis for the exact computed values λeq and βeq. Black: for the values rounded to the nearest allowed integer of Sλ and Sβ.

Current usage metrics show cumulative count of Article Views (full-text article views including HTML views, PDF and ePub downloads, according to the available data) and Abstracts Views on Vision4Press platform.

Data correspond to usage on the plateform after 2015. The current usage metrics is available 48-96 hours after online publication and is updated daily on week days.

Initial download of the metrics may take a while.