Free Access

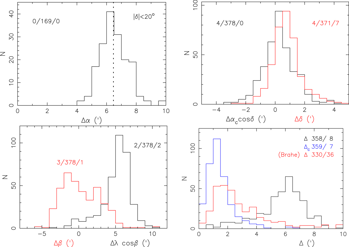
Fig. 8.

image

Distributions of various positional errors. Entries identified with clusters and duplicate entries are not included. The histograms include entries for which equatorial coordinates are not given in WilhelmIV, but computed by us from the ecliptic coordinates. The numbers in the frame indicate the numbers of values to the left of, within, and to the right of the frame limits. Top left: distribution of Δα (Eq. (3)) for entries with |δ|< 20°. The average shift, indicated with a vertical dashed line, is . Top right: distributions of Δαc cos δ (black) and of Δδ (red) – see Eq. (3). Bottom left: distributions of Δλ cos β (black) and Δβ (red) – see Eq. (5). Bottom right: distributions of the position errors Δ (black, Eq. (6)) and Δc (blue, Eq. (4)). For a fair comparison with the star catalogue of Brahe (edition by Kepler 1627, position errors shown in red), we selected only the 366 entries that are both in WilhelmIV and in Brahe’s catalogue.

Current usage metrics show cumulative count of Article Views (full-text article views including HTML views, PDF and ePub downloads, according to the available data) and Abstracts Views on Vision4Press platform.

Data correspond to usage on the plateform after 2015. The current usage metrics is available 48-96 hours after online publication and is updated daily on week days.

Initial download of the metrics may take a while.