Fig. 14
 
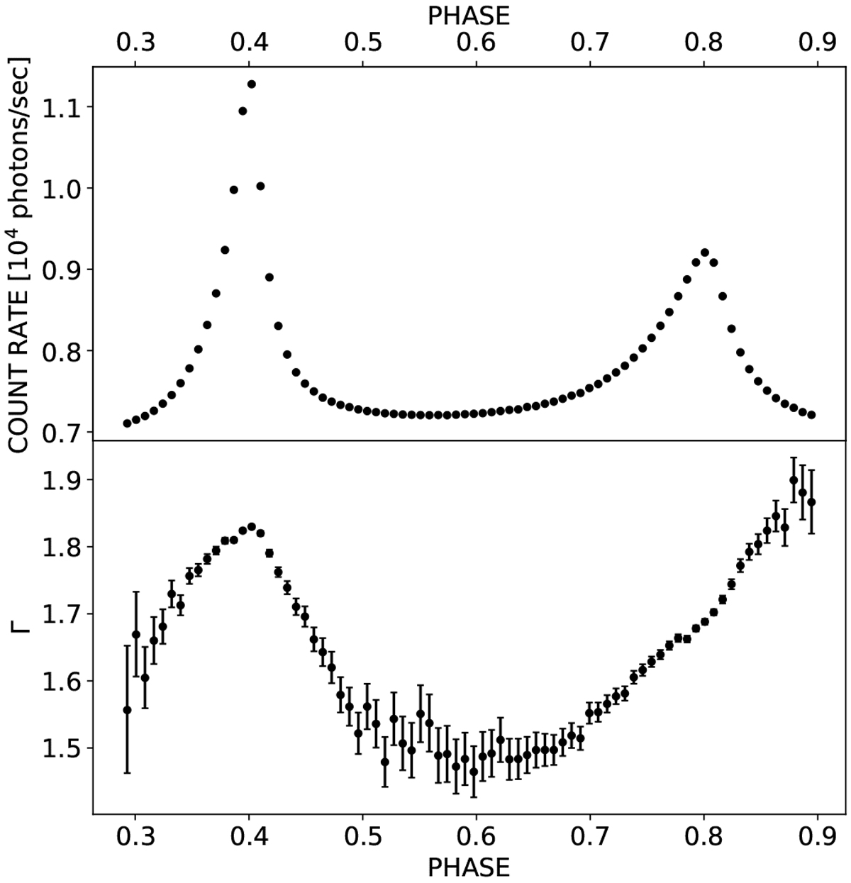
      Low-resolution FLC and the corresponding PRS of the Crab pulsar. Top panel: FLC of the Crab pulsar at a resolution of 1∕128 in rotation phase, in the energy range 1−10 keV. Bottom panel: power law index Γ of the PRS of the Crab pulsar at the same resolution, over the same energy range. The background spectrum is estimated from data in the phase range 0.0–0.2. The reference epoch of the first peak (phase 0.4) is MJD 58 479.425994152342.
Current usage metrics show cumulative count of Article Views (full-text article views including HTML views, PDF and ePub downloads, according to the available data) and Abstracts Views on Vision4Press platform.
Data correspond to usage on the plateform after 2015. The current usage metrics is available 48-96 hours after online publication and is updated daily on week days.
Initial download of the metrics may take a while.
