Free Access
    
Fig. 15
 
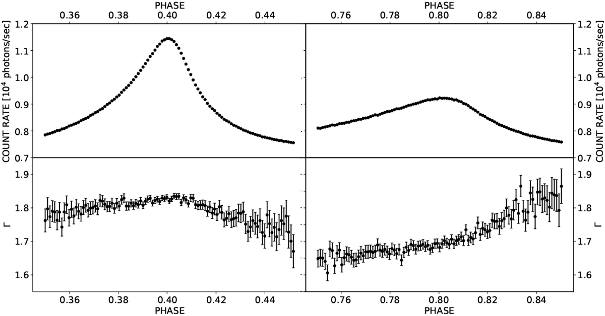
      High-resolution FLC and the corresponding PRS of the Crab pulsar. Same as in Fig. 14, but at a phase resolution of 1∕1024. Left and right panels: data of the two peaks of the FLC of the Crab pulsar. The reference epoch of the first peak (phase 0.4) is MJD 58 479.425994152342.
Current usage metrics show cumulative count of Article Views (full-text article views including HTML views, PDF and ePub downloads, according to the available data) and Abstracts Views on Vision4Press platform.
Data correspond to usage on the plateform after 2015. The current usage metrics is available 48-96 hours after online publication and is updated daily on week days.
Initial download of the metrics may take a while.
