Free Access

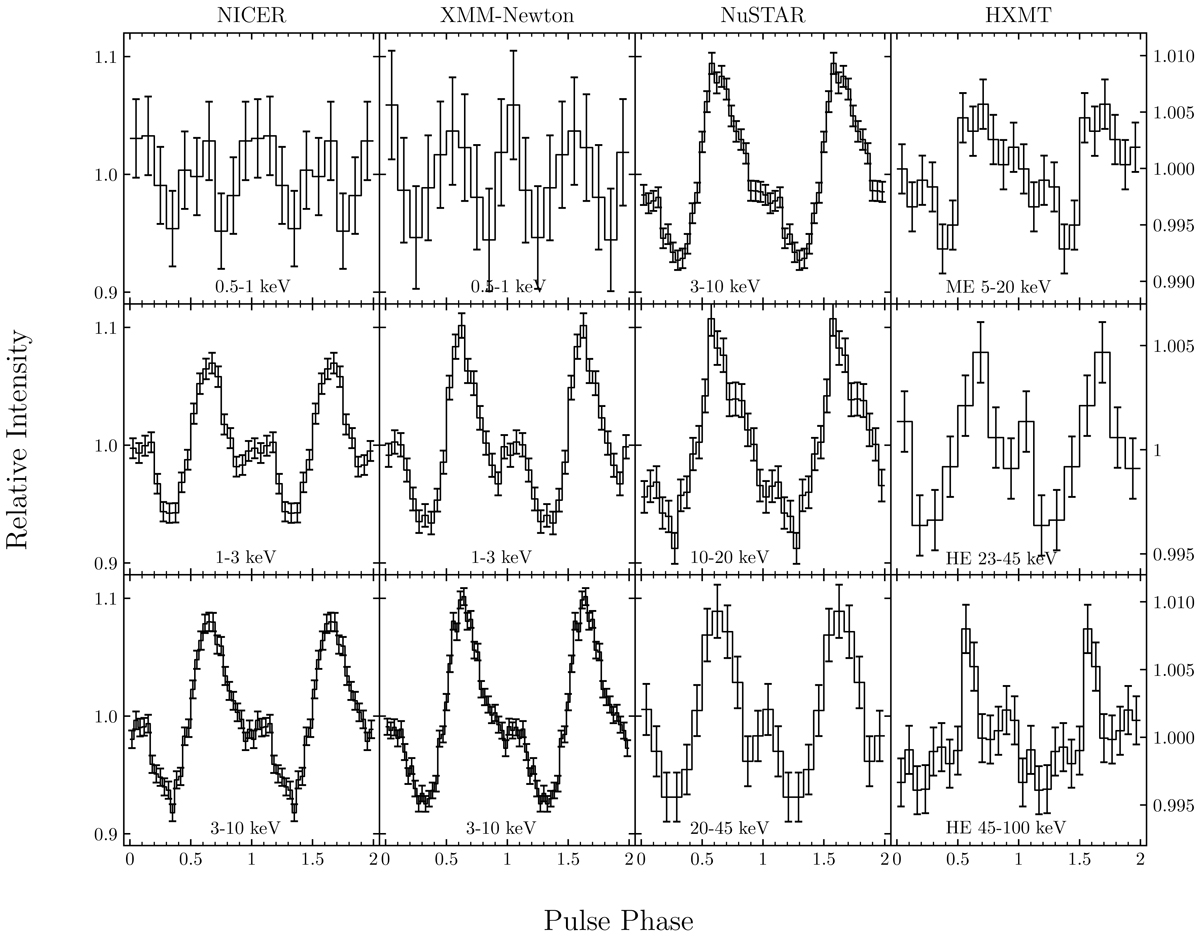
Fig. 5.

image

Pulse profiles of Swift J1756.9–2508 observed by NICER, XMM-Newton, NuSTAR, and Insight-HXMT during the 2018 outburst.

Current usage metrics show cumulative count of Article Views (full-text article views including HTML views, PDF and ePub downloads, according to the available data) and Abstracts Views on Vision4Press platform.

Data correspond to usage on the plateform after 2015. The current usage metrics is available 48-96 hours after online publication and is updated daily on week days.

Initial download of the metrics may take a while.