Free Access

Fig. 9.

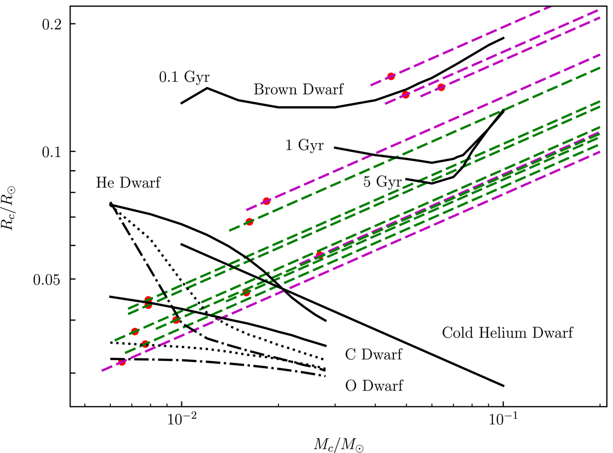
image

Assumption of a Roche lobe-filling companion implies a mass-radius relation Rc = 0.082 (Mc/0.1 M)1/3(Porb/40 min)2/3R, shown in logarithmic scale for different AMXPs with orbital periods around 40 min. From bottom up, the sources are IGR J17062−6143 (Strohmayer et al. 2018), XTE J1807−294 (Campana et al. 2003), XTE J1751−305 (Papitto et al. 2010), XTE J0929−314 (Galloway et al. 2002), MAXI J0911−655 (Sanna et al. 2017), IGR J16597−3704 (Sanna et al. 2018a), Swift J1756.9–2508 (Krimm et al. 2007b), NGC 6440 X-2 (Altamirano et al. 2010), IGR J17494−3030 (Ng et al. 2021), HETE J1900.1−2455 (Kaaret et al. 2006), IGR J17379−3747 (Sanna et al. 2018b), SAX J1808.4−3658 (Wijnands & van der Klis 1998), and IGR J00291+5934 (Galloway et al. 2005). The magenta dashed lines show the AMXPs with detected type-I X-ray bursts, while the green dashed lines show the AMXPs without type-I X-ray bursts. The red points mark the inclination angle at 60°. We note that from all AMXPs with the orbital period shorter than 1 hr, except MAXI J0911−655 and IGR J17494−3030, no type-I X-ray bursts were detected. We also show the mass-radius relations for low mass regime H-poor dwarf equation of states for O (dot-dash lines), C (dotted lines), and He (solid lines) as well as low (104 K, lower lines) or high (3 × 104 K, upper lines) central temperatures.

Current usage metrics show cumulative count of Article Views (full-text article views including HTML views, PDF and ePub downloads, according to the available data) and Abstracts Views on Vision4Press platform.

Data correspond to usage on the plateform after 2015. The current usage metrics is available 48-96 hours after online publication and is updated daily on week days.

Initial download of the metrics may take a while.