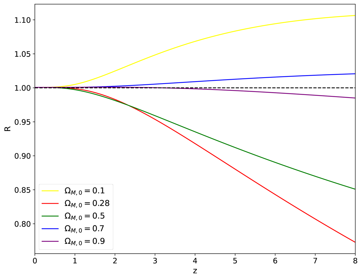
Fig. 3.
 
      Luminosity distance ratio (R) of a fifth-order cosmographic expansion of a flat ΛCDM model to the model itself, for different values of ΩM, 0. In each case the expansion very precisely reproduces the cosmological model for z < 1 (R = 1). The discrepancy from R = 1 at z > 1 depends on the specific value of ΩM, 0: the worst case is for ΩM, 0 = 0.28, while the best case is for ΩM, 0 = 0.9.
Current usage metrics show cumulative count of Article Views (full-text article views including HTML views, PDF and ePub downloads, according to the available data) and Abstracts Views on Vision4Press platform.
Data correspond to usage on the plateform after 2015. The current usage metrics is available 48-96 hours after online publication and is updated daily on week days.
Initial download of the metrics may take a while.
