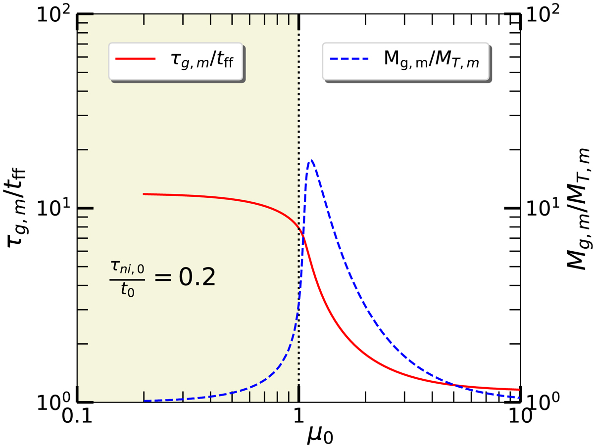
Fig. 1.
 
      Growth timescale τg, m (in the units of dynamical or free-fall time tff) and the preferred fragmentation mass Mg, m (in the units of preferred thermal fragmentation mass MT, m) of the most unstable mode as a function of the normalized mass-to-flux ratio (μ0). The model utilizes the standard ionization fraction corresponding to a normalized neutral–ion collision time  . The shaded and unshaded zones represent the subcritical (μ0 < 1) and supercritical (μ0 > 1) regimes, respectively. The present paper focuses on the (mildly) supercritical regime.
. The shaded and unshaded zones represent the subcritical (μ0 < 1) and supercritical (μ0 > 1) regimes, respectively. The present paper focuses on the (mildly) supercritical regime.
Current usage metrics show cumulative count of Article Views (full-text article views including HTML views, PDF and ePub downloads, according to the available data) and Abstracts Views on Vision4Press platform.
Data correspond to usage on the plateform after 2015. The current usage metrics is available 48-96 hours after online publication and is updated daily on week days.
Initial download of the metrics may take a while.
