Free Access

Fig. A.1.

image

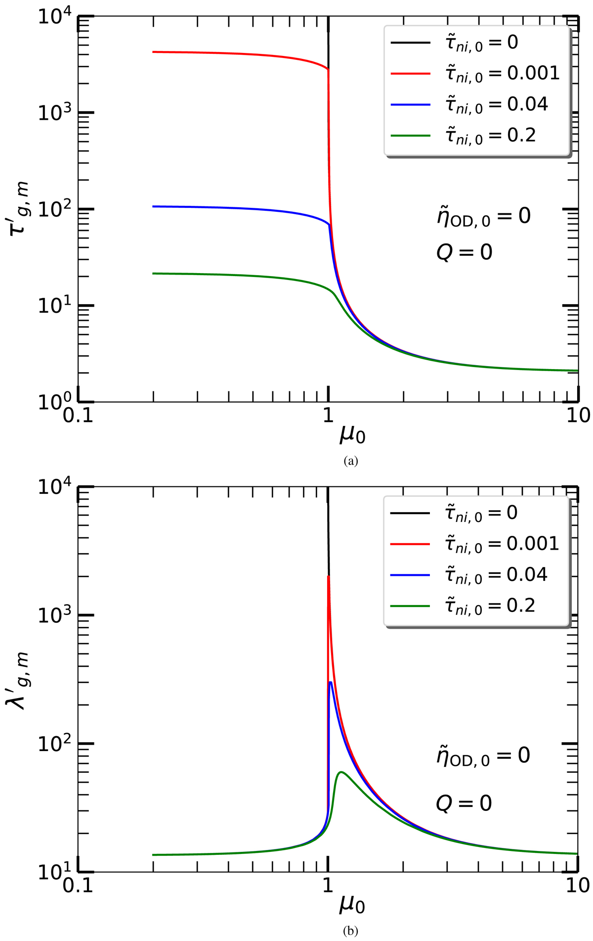
Top: normalized shortest growth time of gravitationally unstable mode () as a function of normalized mass-to-flux ratio (μ0). Bottom: normalized preferred length scale of the most unstable mode () as a function of the normalized mass-to-flux ratio (μ0). Each panel shows curves for models (as shown in Eq. (4)) with normalized neutral–ion collision time (black), 0.001 (red), 0.04 (blue), and 0.2 (green). Here, represents the flux-frozen case as a reference. The Toomre-Q rotation parameter and the dimensionless ohmic diffusivity are set to be zero. As the degree of ambipolar diffusion (i.e., ) increases, the growth timescale and length scale become shorter (see Ciolek & Basu 2006; Bailey & Basu 2012; Das & Basu 2021) for further details.

Current usage metrics show cumulative count of Article Views (full-text article views including HTML views, PDF and ePub downloads, according to the available data) and Abstracts Views on Vision4Press platform.

Data correspond to usage on the plateform after 2015. The current usage metrics is available 48-96 hours after online publication and is updated daily on week days.

Initial download of the metrics may take a while.