Free Access

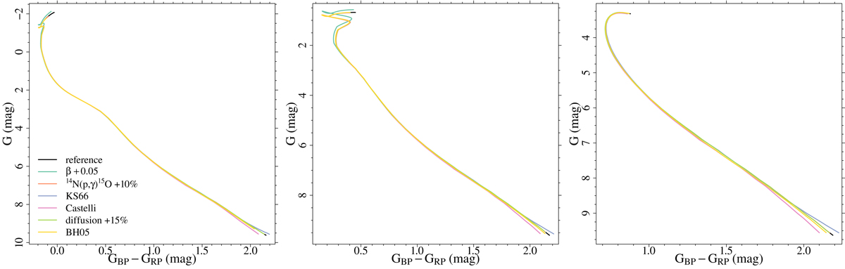
Fig. 3.

image

Left panel: comparison of isochrones computed for an age of 150 Myr, but with different physics input (see text). Middle: same as in the left panel, but for an age of 1 Gyr. Right panel: same as in the left panel, but for an age of 7 Gyr.

Current usage metrics show cumulative count of Article Views (full-text article views including HTML views, PDF and ePub downloads, according to the available data) and Abstracts Views on Vision4Press platform.

Data correspond to usage on the plateform after 2015. The current usage metrics is available 48-96 hours after online publication and is updated daily on week days.

Initial download of the metrics may take a while.