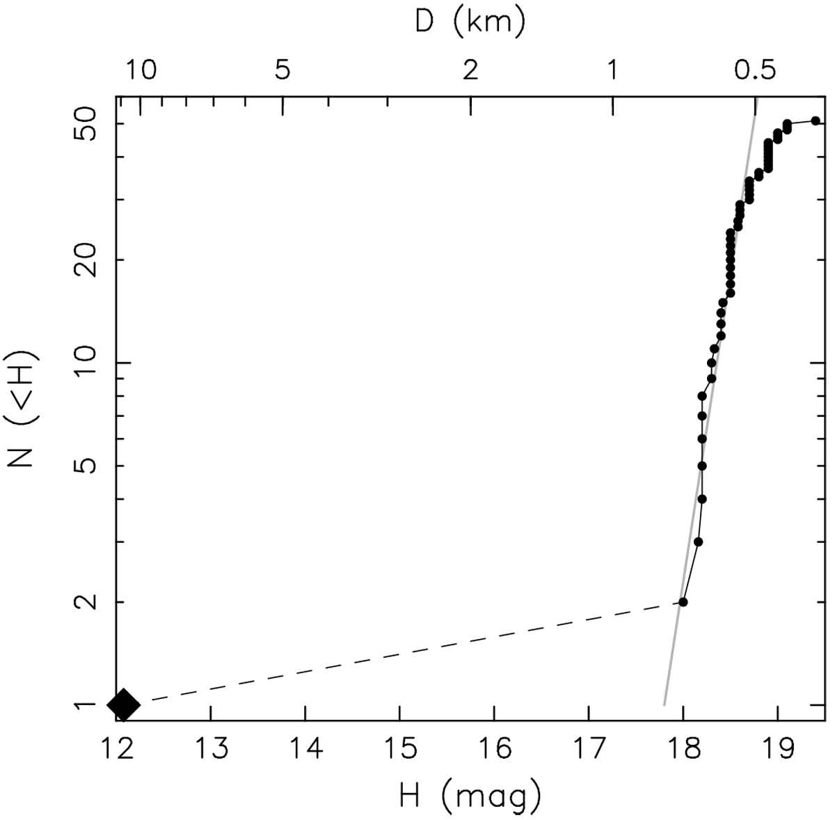
Fig. 4
 
      Cumulative distribution N(< H) of absolute magnitude H for known Adelaide family members. The diamond symbol denotes the largest fragment (525) Adelaide, filled circles are smaller fragments in the family. The grey line shows the power-law relation N(< H) ∝ 10γH for γ = 1.8, which approximates the distribution of small members. The upper abscissa provides an estimate of size, assuming geometric albedo pV = 0.22 (a possiblevalue for (525) Adelaide; Sect. 2.1). The sizes would be slightly smaller for larger pV values.
Current usage metrics show cumulative count of Article Views (full-text article views including HTML views, PDF and ePub downloads, according to the available data) and Abstracts Views on Vision4Press platform.
Data correspond to usage on the plateform after 2015. The current usage metrics is available 48-96 hours after online publication and is updated daily on week days.
Initial download of the metrics may take a while.
