Free Access

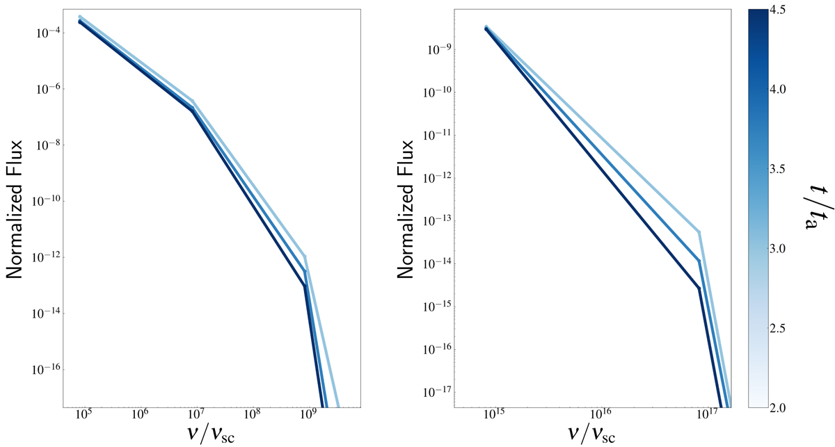
Fig. 10.

image

Time evolution of the SED for model HEL2-C produced using the evolving particle spectra with an initial power-law index p = 6 when observed from a direction inclined at 20° with the jet axis. Lines with t/ta = 3.0, 3.75, and 4.5 are shown in the left panel for the synchrotron emission, and the corresponding IC emission is shown in the right panel. The frequency, flux, and time have the same normalization as in Fig. 8.

Current usage metrics show cumulative count of Article Views (full-text article views including HTML views, PDF and ePub downloads, according to the available data) and Abstracts Views on Vision4Press platform.

Data correspond to usage on the plateform after 2015. The current usage metrics is available 48-96 hours after online publication and is updated daily on week days.

Initial download of the metrics may take a while.