Free Access

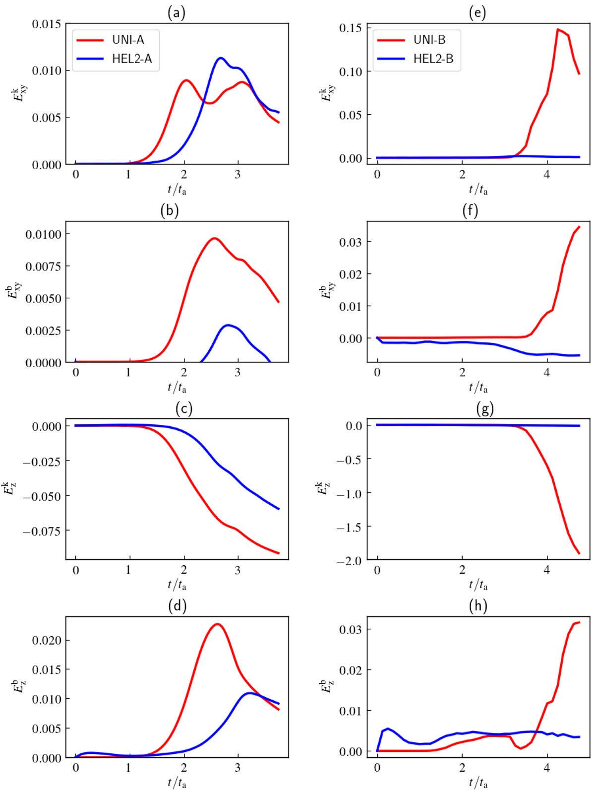
Fig. 4.

image

Left panels: time evolution of the volume-averaged perturbed (a) kinetic energy in the X − Y plane , (b) magnetic energy in the X − Y plane , (c) axial kinetic energy , and (d) axial magnetic energy for the UNI-A and HEL2-A cases. Right panels: time evolution of the corresponding energies for their higher sonic Mach number (Ms = 5.00) counterparts.

Current usage metrics show cumulative count of Article Views (full-text article views including HTML views, PDF and ePub downloads, according to the available data) and Abstracts Views on Vision4Press platform.

Data correspond to usage on the plateform after 2015. The current usage metrics is available 48-96 hours after online publication and is updated daily on week days.

Initial download of the metrics may take a while.