Free Access

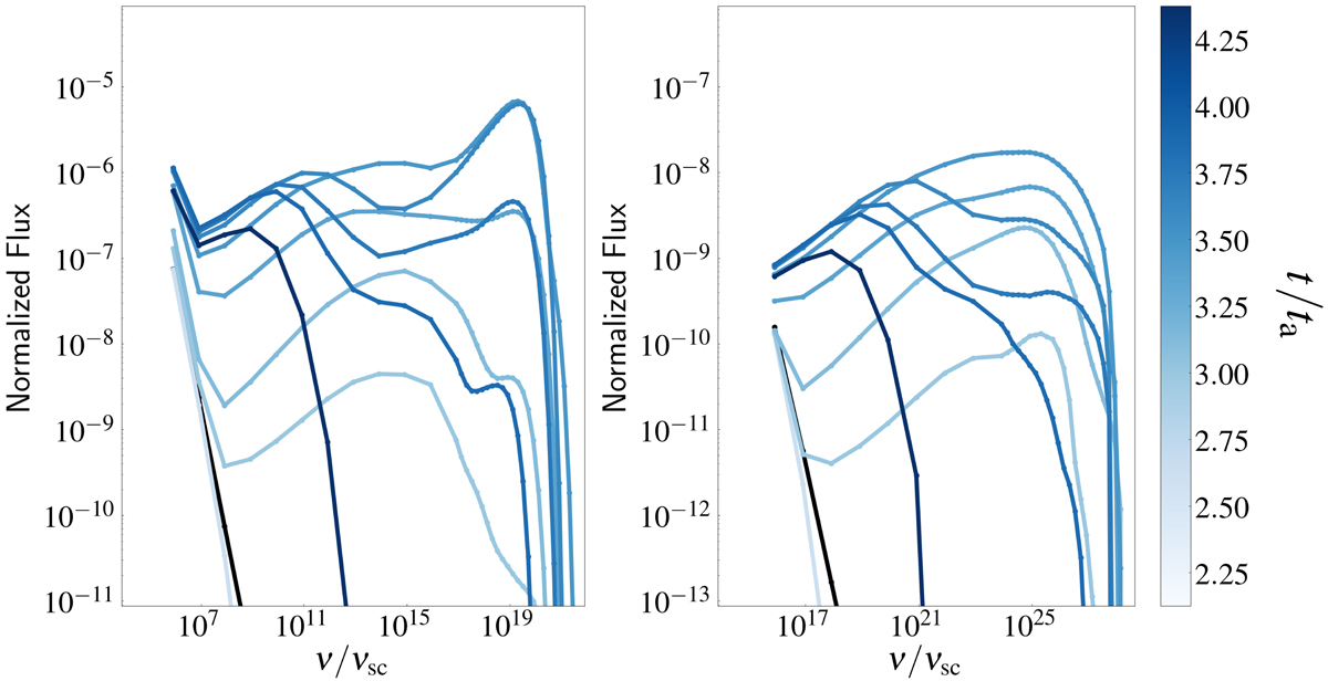
Fig. 8.

image

Time evolution of the SED for model UNI-B produced using the evolving particle spectra with an initial power-law index, p = 6 when observed from a direction inclined at 20° with the jet axis. The colors of the lines indicate the time normalized to Alfvén time. Lines with t/ta = 0.0, 2.62, 3.00, 3.12, 3.37, 3.5, 3.62, 3.75, 3.87, and 4.37 are shown in the left panel for the synchrotron emission, and the corresponding IC emission is shown in the right panel. The total integrated flux νFν is normalized with νscFνsc, where νsc = 122 Hz is the frequency scale and Fνsc = 9.38 × 10−14 ergs s−1 cm−2 Hz−1 is the flux scale corresponding to γmax = 108.

Current usage metrics show cumulative count of Article Views (full-text article views including HTML views, PDF and ePub downloads, according to the available data) and Abstracts Views on Vision4Press platform.

Data correspond to usage on the plateform after 2015. The current usage metrics is available 48-96 hours after online publication and is updated daily on week days.

Initial download of the metrics may take a while.