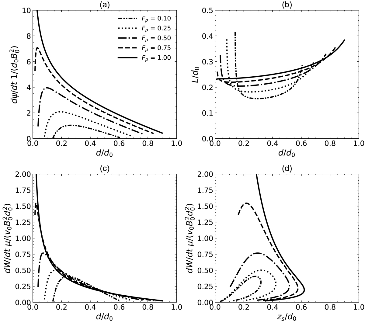
Fig. 7.
 
      Physical parameters of cancellation for v0 = 1, α = 0.1 and MA0 = 0.01. (a) Rate of change (dψ/dt) of flux below the separator, for different values of the minority flux (Fp). (b) Length (L) of the current sheet for different values of Fp. (c) Rate (dW/dt) of energy conversion to heat for different values of Fp. (d) dW/dt for different values of Fp as a function of the null height zs. In (b)–(d), the solution above L0 > R0 is cut off.
Current usage metrics show cumulative count of Article Views (full-text article views including HTML views, PDF and ePub downloads, according to the available data) and Abstracts Views on Vision4Press platform.
Data correspond to usage on the plateform after 2015. The current usage metrics is available 48-96 hours after online publication and is updated daily on week days.
Initial download of the metrics may take a while.
