Open Access
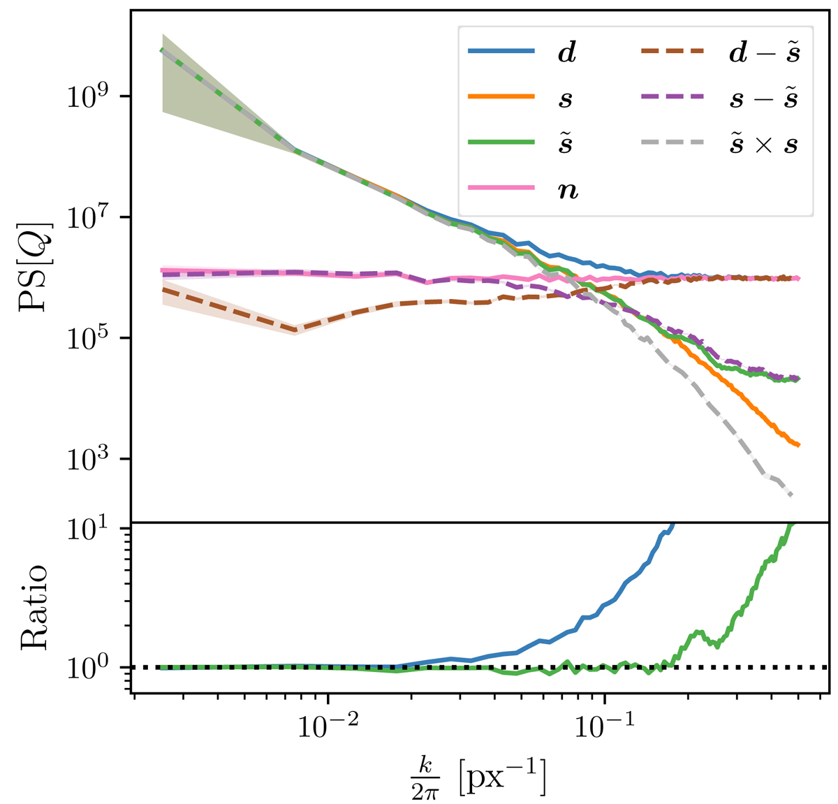
Fig. 2.
 
      Q maps power spectra for d, s,  , n (all in solid lines),
, n (all in solid lines),  , and
, and  , and cross-spectrum between the Q maps of
, and cross-spectrum between the Q maps of  and s (all in dashed lines). Bottom panel: ratio of the power spectra of d and
 and s (all in dashed lines). Bottom panel: ratio of the power spectra of d and  with that of s.
 with that of s.
Current usage metrics show cumulative count of Article Views (full-text article views including HTML views, PDF and ePub downloads, according to the available data) and Abstracts Views on Vision4Press platform.
Data correspond to usage on the plateform after 2015. The current usage metrics is available 48-96 hours after online publication and is updated daily on week days.
Initial download of the metrics may take a while.
