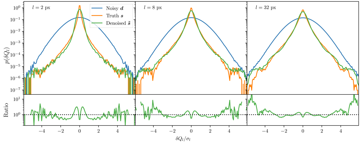
Fig. 3.
 
      PDFs of the increments of Q for d (noisy), s (truth), and  (denoised), computed for three logarithmically spaced lags going from 2 to 32 pixels. For each lag, the increments were normalized by the standard deviation σl of the Gaussian that fits the core of the PDF of the noisy map. Bottom panels: ratio of the PDFs of
 (denoised), computed for three logarithmically spaced lags going from 2 to 32 pixels. For each lag, the increments were normalized by the standard deviation σl of the Gaussian that fits the core of the PDF of the noisy map. Bottom panels: ratio of the PDFs of  with those of s for each lag.
 with those of s for each lag.
Current usage metrics show cumulative count of Article Views (full-text article views including HTML views, PDF and ePub downloads, according to the available data) and Abstracts Views on Vision4Press platform.
Data correspond to usage on the plateform after 2015. The current usage metrics is available 48-96 hours after online publication and is updated daily on week days.
Initial download of the metrics may take a while.
