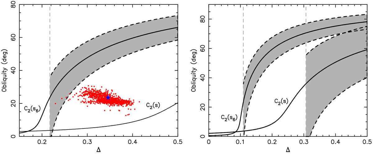
Fig. 3
 
      Obliquity ε2 of the Cassini state 2 as a function of the dynamical ellipticity Δ (see Eq. (A.3)). Orbital parameters of (208) Lacrimosa are assumed. Left panel: nominal rotation period P = 14.085734 h of (208) Lacrimosa used. The solid line labeled C2(s6) provides ε2 for the s6 (forced) frequency mode of the nodal precession. The spin-orbit resonance onsets for Δ are denoted by the light-gray dashed line (transition determined by the Eq. (A.7) condition); beyond this value the Cassini state 2 becomes an equilibrium point of the spin-orbit resonance,whose maximum extension in obliquity is shown by the gray area. Solid line labeled C2 (s) provides ε2 for the s (proper) mode of the nodal precession. Here the spin-orbit resonance does not exist. Red symbols show obliquity and Δ values for a little less than 1000 solutions for (208) Lacrimosa from the bootstrap method discussed in Sect. 2 and using only the optical light-curve observations. The blue star is the nominal, best-fit solution. Right panel: same as in the left panel, but now for a hypothetical, longer rotation period of P = 28 h. Now the spin–orbit resonance exists beyond some critical Δ value for both frequencies s6 and s.
Current usage metrics show cumulative count of Article Views (full-text article views including HTML views, PDF and ePub downloads, according to the available data) and Abstracts Views on Vision4Press platform.
Data correspond to usage on the plateform after 2015. The current usage metrics is available 48-96 hours after online publication and is updated daily on week days.
Initial download of the metrics may take a while.
