Fig. 9
 
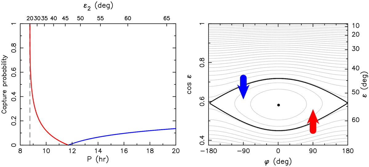
      Left panel: capture probability to the spin-orbit resonance in a Colombo top model with an adiabatically slow change in the asteroid rotation period P (at the abscissa). Heliocentric orbit of (208) Lacrimosa, dynamical ellipticity Δ = 0.35, and s6 mode of the orbital node precession were used. With these assumptions, the resonance bifurcates at ≃ 8.73 h rotation period (vertical dashed line). The red line indicates probability P+ of a capture from orbits originally circulating about the Cassini state C3, the blue line indicates probability P− of a capture from orbits originally circulating about the Cassini state C1. The analytical theory of Henrard & Murigande (1987) is briefly recalled in the appendix; see Eqs. (A.12) and (A.13). The upper abscissa shows obliquity ε2 of the Cassini state C2, the equilibrium point of the resonance. Right panel: phase portrait of the Colombo top for rotation period P = 14.085734 h (other parameters as above). The gray curves are isolines of the integral C(ε, φ) = constant given by Eq. (A.11). The black curve is the separatrix and the black dot shows the location of the Cassini state C2. The arrows schematically indicate the capture in the resonance from orbits originally circulating about the Cassini state C1 (blue) and C3 (red); in a model where only the rotation period P slowly changes, the former occurs for a decrease in P and the latter occurs for an increase in P.
Current usage metrics show cumulative count of Article Views (full-text article views including HTML views, PDF and ePub downloads, according to the available data) and Abstracts Views on Vision4Press platform.
Data correspond to usage on the plateform after 2015. The current usage metrics is available 48-96 hours after online publication and is updated daily on week days.
Initial download of the metrics may take a while.
