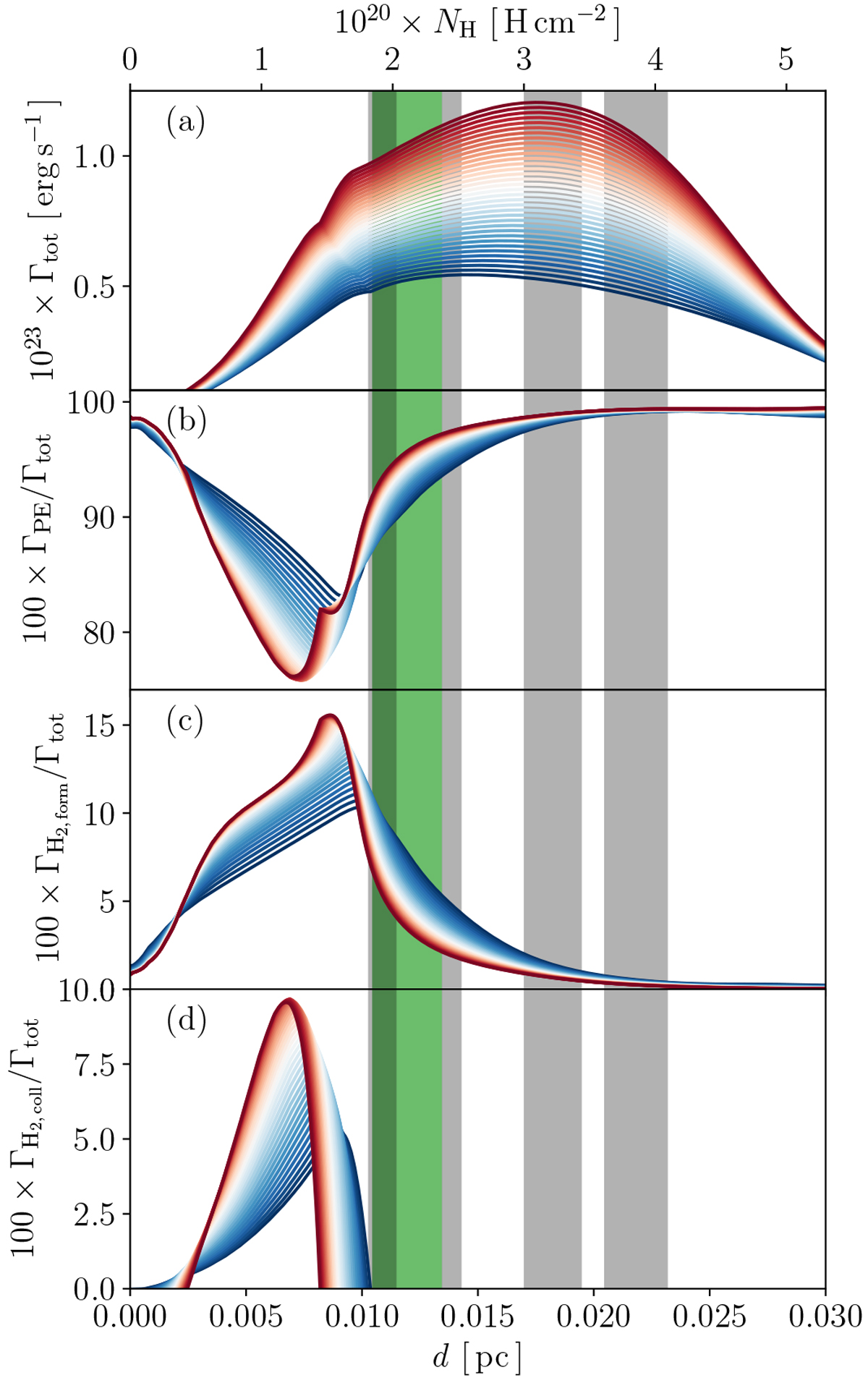
Fig. 4
 
      Panel a: total gas heating rate across the PDR for qAF varying from 0% (blue line) to22% (red line). Panel b: contribution of the gas heating through the photo-electric effect on dust to the total gas heating. Panel c: contribution of the gas heating through the H2 formation to the total gas heating. Panel d: contribution of the gas heating through H2 collisional deexcitation to the total gas heating. The meaning of the green and grey stripes is explained in Fig. 3.
Current usage metrics show cumulative count of Article Views (full-text article views including HTML views, PDF and ePub downloads, according to the available data) and Abstracts Views on Vision4Press platform.
Data correspond to usage on the plateform after 2015. The current usage metrics is available 48-96 hours after online publication and is updated daily on week days.
Initial download of the metrics may take a while.
