Highlight
Free Access

This article has an erratum: [https://doi.org/10.1051/0004-6361/202140711e]


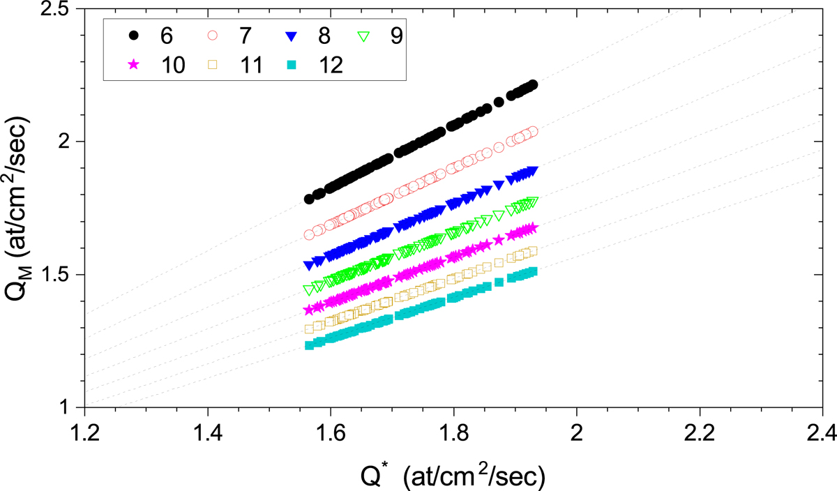
Fig. 3.

image

Dependence between Q-values computed for different geomagnetic dipole moments M, as denoted in the legend in units of ⋅1022 A m2 and Q* at the modern-day value of M0 = 7.75⋅1022 A m2. GCR spectra directly measured by AMS for May 2011 through May 2017 (see Sect. 3.2.1) were used when calculating Q-values.

Current usage metrics show cumulative count of Article Views (full-text article views including HTML views, PDF and ePub downloads, according to the available data) and Abstracts Views on Vision4Press platform.

Data correspond to usage on the plateform after 2015. The current usage metrics is available 48-96 hours after online publication and is updated daily on week days.

Initial download of the metrics may take a while.