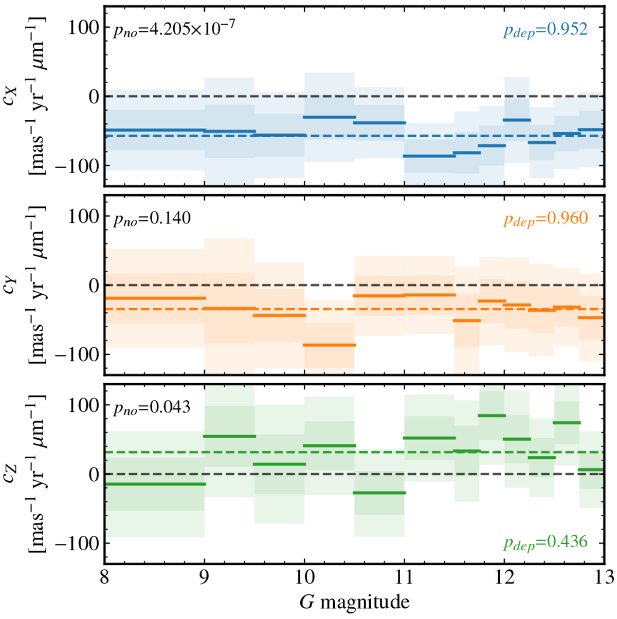
Fig. 6
 
      Coefficients obtained in different magnitude bins when fitting color-dependent spin parameters as defined in Eq. (6). The shaded areas correspond to 1σ and 2σ uncertainties obtained by bootstrapping, and pno and pdep are defined in the text. While cX in particular is significantly nonzero, we do not recommend the application of a color correction proportional to νeff. Our sample lacks the statistical power to fully characterize the chromaticity of the spin.
Current usage metrics show cumulative count of Article Views (full-text article views including HTML views, PDF and ePub downloads, according to the available data) and Abstracts Views on Vision4Press platform.
Data correspond to usage on the plateform after 2015. The current usage metrics is available 48-96 hours after online publication and is updated daily on week days.
Initial download of the metrics may take a while.
