Free Access

Fig. 4

image

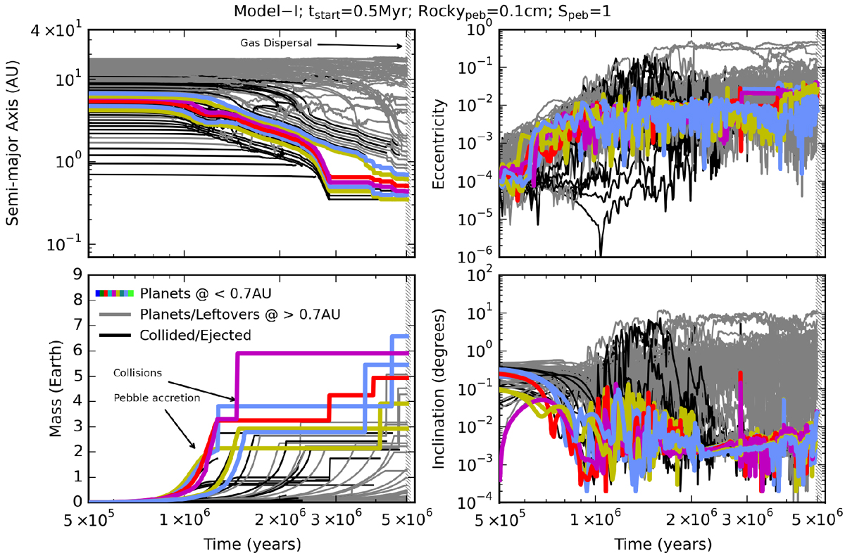
Dynamical evolution of protoplanetary embryos in a simulation of Model I where tstart = 0.5 Myr, Speb = 1 and the size of the rocky pebbles is Rockypeb = 0.1 cm (same simulation as in Fig. 3). Top left-hand panel: evolution of the semi-major axes. Top right-hand panel: evolution of the eccentricities. Bottom left-hand and right-hand panels: mass growth and the orbital inclinations, respectively. The dashed vertical line shows the end of the gas disk dispersal (corresponding to ~ 10−9M yr−1 in Eq. (2)). Colored lines show the final planets inside 0.7 AU. The gray line shows final planets and leftover protoplanetary embryos with orbits outside 0.7 AU. Leftover embryos are those with masses smaller than ~ 0.1 M. Finally, the black line shows collided or ejected objects over the course of the simulation.

Current usage metrics show cumulative count of Article Views (full-text article views including HTML views, PDF and ePub downloads, according to the available data) and Abstracts Views on Vision4Press platform.

Data correspond to usage on the plateform after 2015. The current usage metrics is available 48-96 hours after online publication and is updated daily on week days.

Initial download of the metrics may take a while.