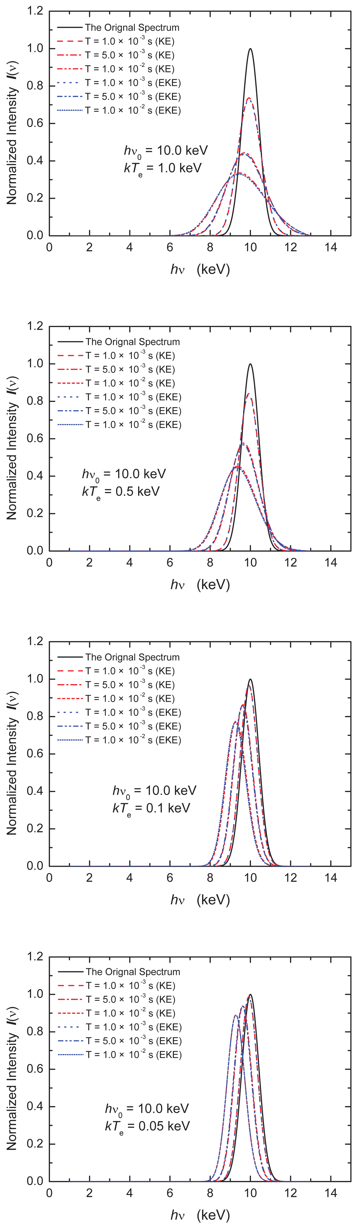
Fig. A.3.
 
      Comparison of evolution behavior for the down-Comptonization of the Gaussian line with hν0 = 10 keV between the classical Kompaneets equation and our extended equation. The evolution times T, hν0, and kTe are labeled in the figures. The blue and red lines represent the calculated results of the extended equation and the Kompaneets equation, respectively.
Current usage metrics show cumulative count of Article Views (full-text article views including HTML views, PDF and ePub downloads, according to the available data) and Abstracts Views on Vision4Press platform.
Data correspond to usage on the plateform after 2015. The current usage metrics is available 48-96 hours after online publication and is updated daily on week days.
Initial download of the metrics may take a while.
