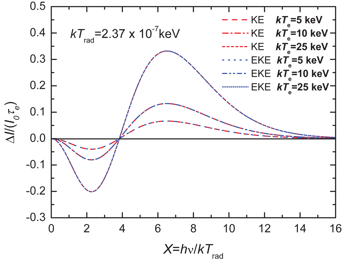
Fig. 4.
 
      Change in intensity of the blackbody spectrum with kTrad = 2.35 × 10−7 keV (CMB) for thermal electron gas at kTe = 5 keV, 10 keV, and 25 keV as a function of dimensionless frequency X = hν/(kTrad), with scaling  . The results obtained from the extended Kompaneets equation are shown as blue lines, while the red lines denote the results from the classical Kompaneets equation.
. The results obtained from the extended Kompaneets equation are shown as blue lines, while the red lines denote the results from the classical Kompaneets equation.
Current usage metrics show cumulative count of Article Views (full-text article views including HTML views, PDF and ePub downloads, according to the available data) and Abstracts Views on Vision4Press platform.
Data correspond to usage on the plateform after 2015. The current usage metrics is available 48-96 hours after online publication and is updated daily on week days.
Initial download of the metrics may take a while.
