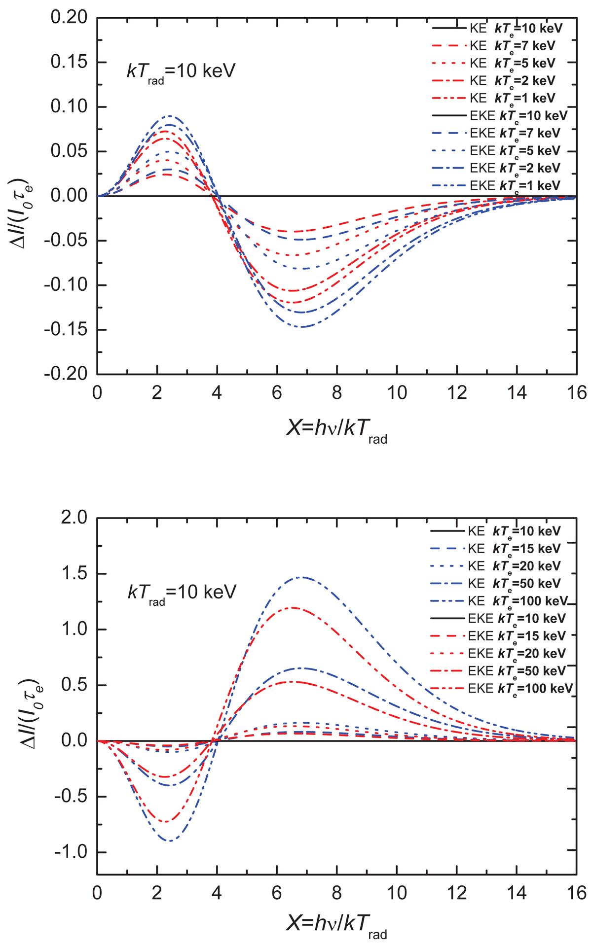
Fig. 7.
 
      Change in intensity of the blackbody spectrum with kTrad = 10 keV under different temperatures of thermal electron gas calculated by use of Eqs. (39) and (40) as a function of dimensionless frequency X = hν/(kTrad), with scaling  . kTrad and kTe are labeled in the figures. The results obtained under the extended Kompaneets equation and the classical Kompaneets equation are shown as blue and red lines, respectively.
. kTrad and kTe are labeled in the figures. The results obtained under the extended Kompaneets equation and the classical Kompaneets equation are shown as blue and red lines, respectively.
Current usage metrics show cumulative count of Article Views (full-text article views including HTML views, PDF and ePub downloads, according to the available data) and Abstracts Views on Vision4Press platform.
Data correspond to usage on the plateform after 2015. The current usage metrics is available 48-96 hours after online publication and is updated daily on week days.
Initial download of the metrics may take a while.
