Free Access

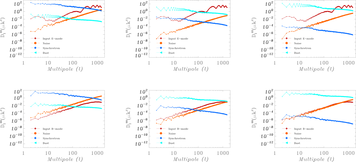
Fig. 3.

image

E- and B-mode angular power spectra of the simulated full-sky maps (without any beam convolution), with a comparison of all the simulated components for three frequency channels: CMB, noise, synchrotron, and thermal dust. From left to right: 30 GHz, 129 GHz, and 321 GHz.

Current usage metrics show cumulative count of Article Views (full-text article views including HTML views, PDF and ePub downloads, according to the available data) and Abstracts Views on Vision4Press platform.

Data correspond to usage on the plateform after 2015. The current usage metrics is available 48-96 hours after online publication and is updated daily on week days.

Initial download of the metrics may take a while.