Free Access

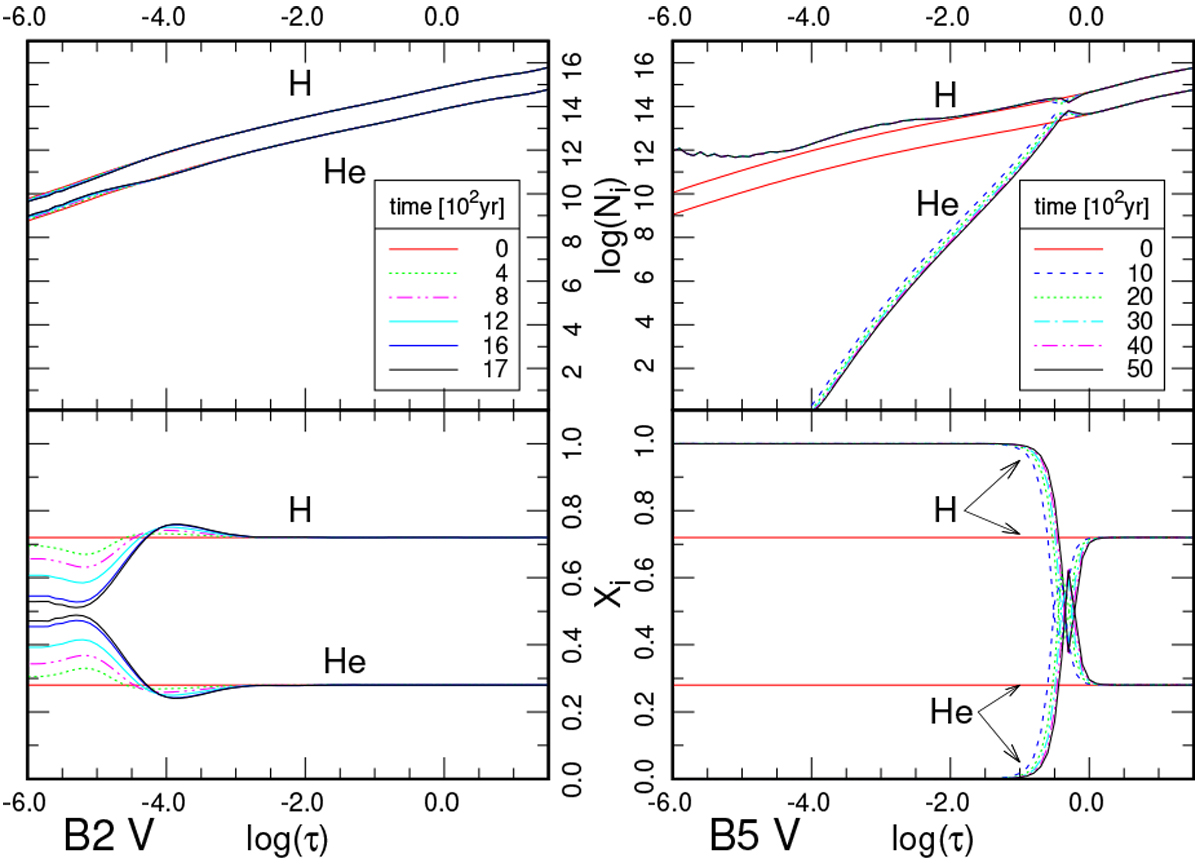
Fig. 1

image

Top left panel: profiles of log Ni at different diffusion times as a function of the Rosseland optical depth for a B2 V star model in absence of magnetic fields (B = 0). Bottom left panel: mass fraction abundance vs. the Rosseland optical depth for the same elements of top left panel. Right panels: same as left panels but for a B5 V star model.

Current usage metrics show cumulative count of Article Views (full-text article views including HTML views, PDF and ePub downloads, according to the available data) and Abstracts Views on Vision4Press platform.

Data correspond to usage on the plateform after 2015. The current usage metrics is available 48-96 hours after online publication and is updated daily on week days.

Initial download of the metrics may take a while.