Free Access

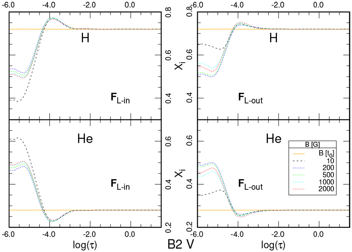
Fig. 3

image

Initial(solid line) and final (dotted lines except for 10 G in short dashed lines) mass fraction abundances of H and He vs. the optical depth for a B2 V star model with the diffusion processes and different magnetic field strengths (10, 200, 500, 1000, and 2000 G). Left panels: the Lorentz force is inward directed (FL-in). Right panels: the Lorentz force is outward directed (FL-out).

Current usage metrics show cumulative count of Article Views (full-text article views including HTML views, PDF and ePub downloads, according to the available data) and Abstracts Views on Vision4Press platform.

Data correspond to usage on the plateform after 2015. The current usage metrics is available 48-96 hours after online publication and is updated daily on week days.

Initial download of the metrics may take a while.