Free Access

Fig. 9

image

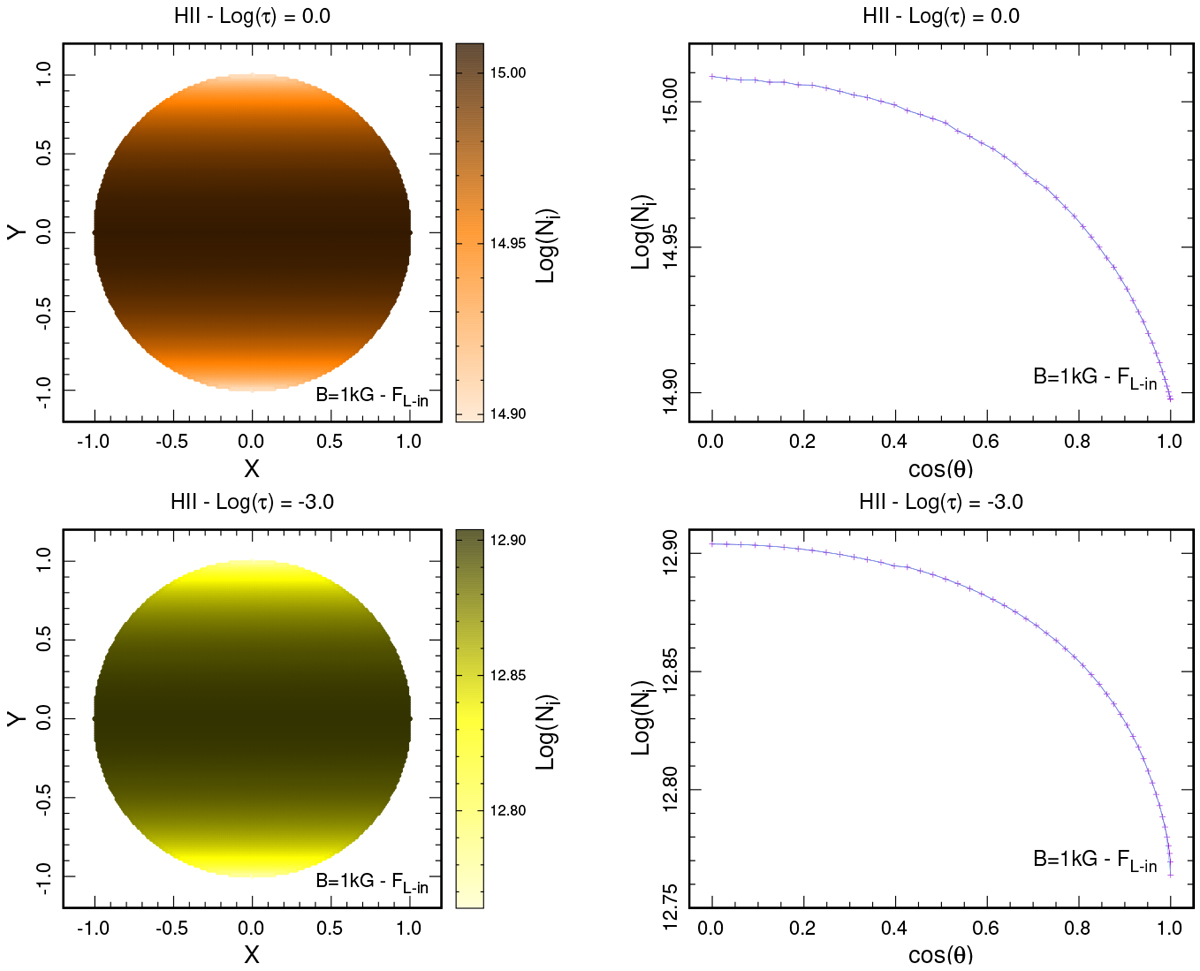
For a B2 V star model with a magnetic field of B = 1 kG for inward directed Lorentz force. Right panels: log Ni vs. cos (θ) (θ, co-latitudinal angle) for H II are plotted at two different profundities, log τ = 0.0 and log τ = -3.0. This ion shows a concentration towards the equatorial plane. Left panels: the stellar discs are represented in the corresponding depths in false colours.

Current usage metrics show cumulative count of Article Views (full-text article views including HTML views, PDF and ePub downloads, according to the available data) and Abstracts Views on Vision4Press platform.

Data correspond to usage on the plateform after 2015. The current usage metrics is available 48-96 hours after online publication and is updated daily on week days.

Initial download of the metrics may take a while.