Free Access

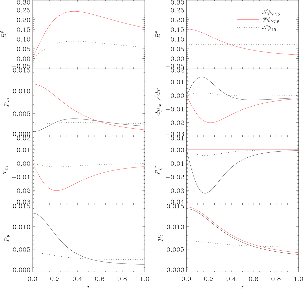
Fig. 1.

image

Transversal equilibrium profiles of several quantities corresponding to models 𝒩ϕ77.53.5β1, 𝒩ϕ453.5β1, and ℱϕ77.53.5β1, with the same averaged gas and magnetic pressures (ℳms, j = 3.5, βj = 1.0) and the three magnetic field configurations we considered. From left to right and from top to bottom: toroidal and axial magnetic fields, magnetic pressure relative to the mean magnetic pressure, magnetic pressure gradient, magnetic tension, radial component of the Lorentz force, gas pressure relative to the mean gas pressure, and total pressure relative to the mean total pressure. The filled and dotted black lines and filled red lines correspond to models 𝒩ϕ77.53.5β1, 𝒩ϕ453.5β1, and ℱϕ77.53.5β1, respectively. The filled black lines coincide with the red filled lines in the panels with only two lines.

Current usage metrics show cumulative count of Article Views (full-text article views including HTML views, PDF and ePub downloads, according to the available data) and Abstracts Views on Vision4Press platform.

Data correspond to usage on the plateform after 2015. The current usage metrics is available 48-96 hours after online publication and is updated daily on week days.

Initial download of the metrics may take a while.