Free Access

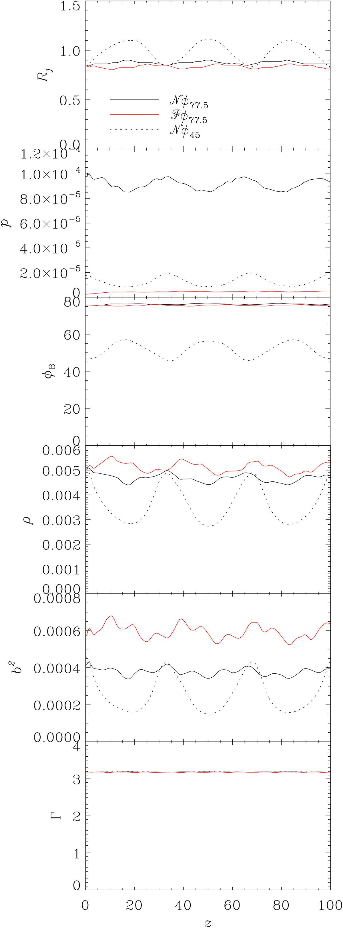
Fig. 10.

image

Mean values along the jet for the kinetically dominated models 𝒩ϕ4510β17.5, 𝒩ϕ77.510β2.34, and ℱϕ77.510β100 corresponding to high Mach-number (ℳms, j = 10) models with magnetizations β = 17.5, 2.34, and 100, and corresponding internal energies ε = 0.01, 0.05, and 0.001.

Current usage metrics show cumulative count of Article Views (full-text article views including HTML views, PDF and ePub downloads, according to the available data) and Abstracts Views on Vision4Press platform.

Data correspond to usage on the plateform after 2015. The current usage metrics is available 48-96 hours after online publication and is updated daily on week days.

Initial download of the metrics may take a while.