Free Access
    
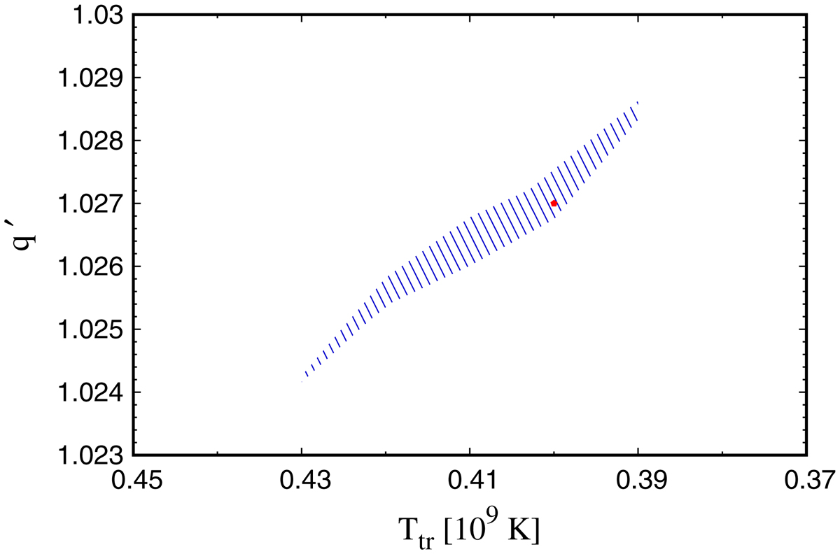
Fig. 3.
 
      Possible solutions (indicated by the shaded area) in the parameter space. An example (q′ = 1.027, Ttr = 4 × 108 K) indicated by the red dot is used in the text to present the resulting abundances.
Current usage metrics show cumulative count of Article Views (full-text article views including HTML views, PDF and ePub downloads, according to the available data) and Abstracts Views on Vision4Press platform.
Data correspond to usage on the plateform after 2015. The current usage metrics is available 48-96 hours after online publication and is updated daily on week days.
Initial download of the metrics may take a while.
