Free Access

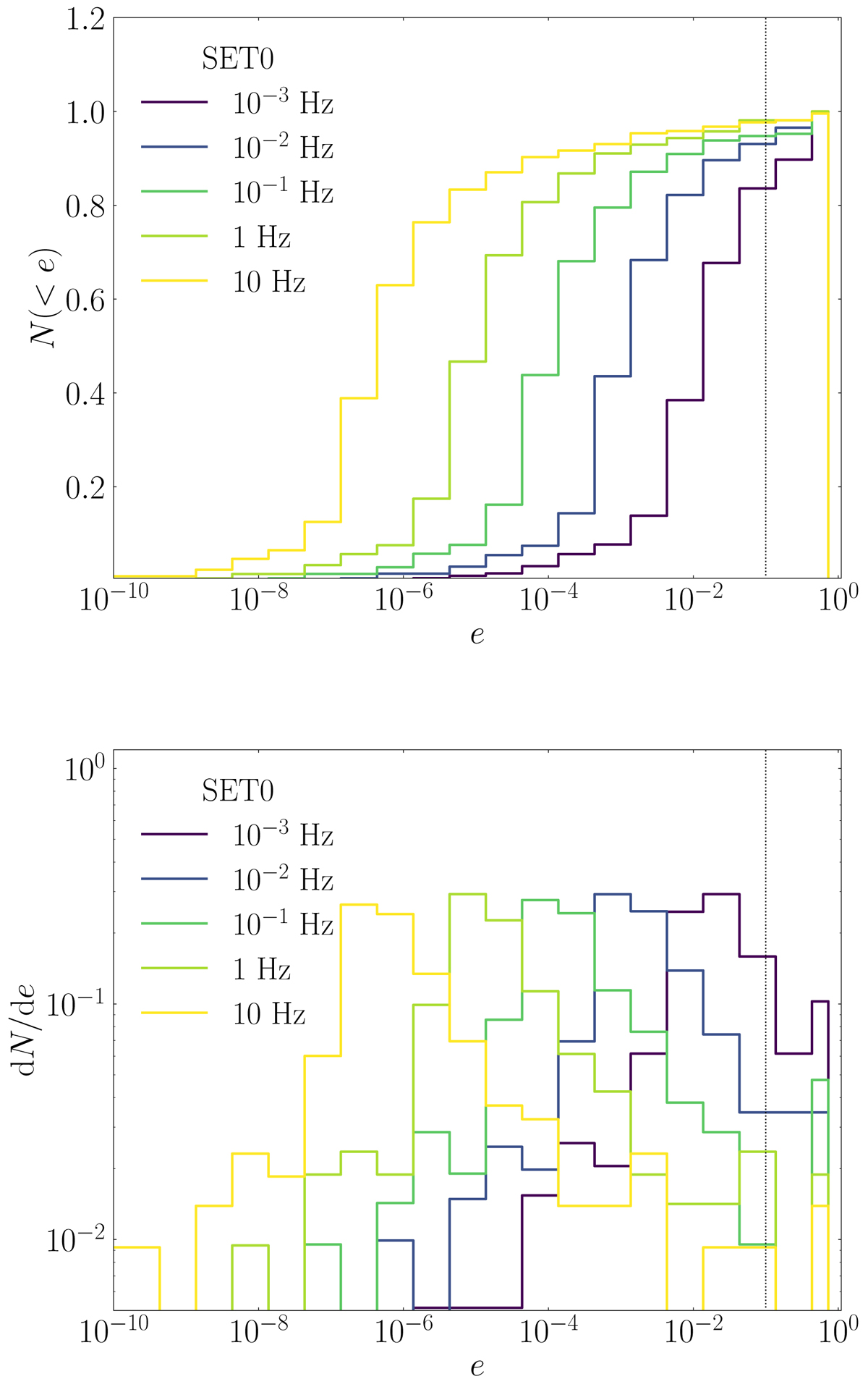
Fig. 10.

image

Cumulative distribution eccentricity (top panel) and its distribution (bottom panel) for all the BHB mergers in model 11. The eccentricity is calculated as the BHB crosses a given frequency, as indicated in the legend. The dotted line indicates a value of eccentricity of e = 0.1.

Current usage metrics show cumulative count of Article Views (full-text article views including HTML views, PDF and ePub downloads, according to the available data) and Abstracts Views on Vision4Press platform.

Data correspond to usage on the plateform after 2015. The current usage metrics is available 48-96 hours after online publication and is updated daily on week days.

Initial download of the metrics may take a while.