Free Access

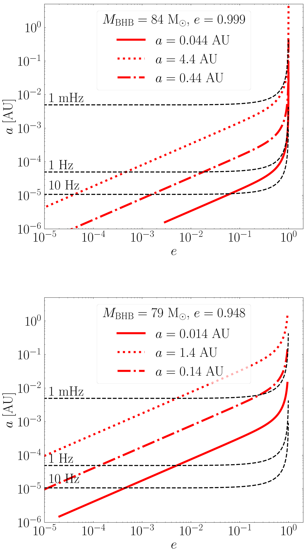
Fig. 26.

image

Top panel: semi-major axis–eccentricity evolution for two inspiral BHBs with mass MBHB = 80 M, eccentricity e = 0.999, and corresponding semi-major axis a = 0.044 AU (dotted red line), 0.44 AU (dotted-dashed red line), or 4.4 AU (straight red line). The dashed black line marks the locus of (a, e) for which the peak frequency is 10−3 to 1 − 10 Hz. Bottom panel: same as top panel, but the binary has a mass MBHB = 79 M, eccentricity e = 0.947, and semi-major axis a = 0.014, 0.14, or 1.4 AU.

Current usage metrics show cumulative count of Article Views (full-text article views including HTML views, PDF and ePub downloads, according to the available data) and Abstracts Views on Vision4Press platform.

Data correspond to usage on the plateform after 2015. The current usage metrics is available 48-96 hours after online publication and is updated daily on week days.

Initial download of the metrics may take a while.