Open Access

Fig. 4

image

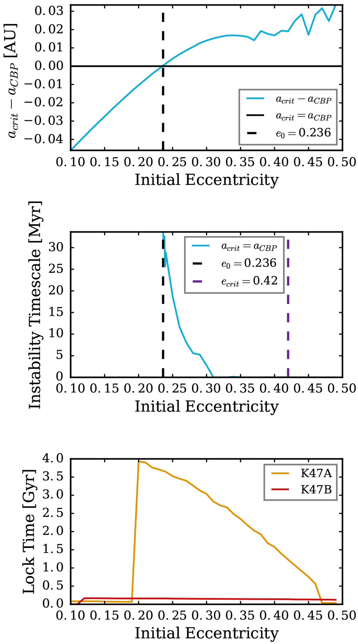
Dynamic stability and instability behavior of Kepler-47 b depending on the initial binary eccentricity. The top panel represents the maximum difference between acrit and acbp in its entire long-term evolution. If acritacbp is less thanzero, the dynamic stability limit never engulfs Kepler-47b. The middle panel shows the time in which acrit crosses into acbp (acrit = acbp) during each simulation’s history. The maximum instability time is 33.6 Myr at ebin = 0.236 and drops as the initial ebin increases. The dashed vertical lines represent transitional values of ebin. The bottom panel shows when each of the binary stars tidally lock during each simulation. Tidal lock time for the secondary star, Kepler-47B, is constant compared to the initial ebin, however the tidal lock time for the more massive primary star, Kepler-47A, jumps from 69.3 Myr at ebin = 0.19 to 3.93 Gyr at ebin = 0.20 and decreases to zero as the initial ebin increases. The approximate runtime was 42 h in total. github.com: cbp_dynamic_stability/K47_Eccentricities

Current usage metrics show cumulative count of Article Views (full-text article views including HTML views, PDF and ePub downloads, according to the available data) and Abstracts Views on Vision4Press platform.

Data correspond to usage on the plateform after 2015. The current usage metrics is available 48-96 hours after online publication and is updated daily on week days.

Initial download of the metrics may take a while.