Free Access

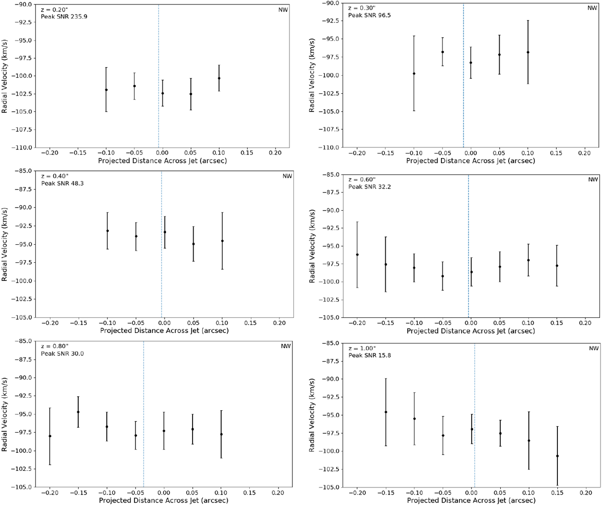
Fig. 6

image

Radial velocity profiles across the jet at various distances, z, from the star. The vertical line marks the measured jet axis position at this distance z, whereas the zero position on the x-axis marks the nominal jet axis position according to the jet PA. The compass orientation of the x-axis is from SE to NW. A jet rotation signature should reveal itself as a systematic gradient in radial velocities across the jet in a sense that matches the disk rotation sense. (Recall the kinematics were measured on data before PSF deconvolution i.e. PSF FWHM = 0′′15.) No systematic gradient is observed. Errors are 3σ.

Current usage metrics show cumulative count of Article Views (full-text article views including HTML views, PDF and ePub downloads, according to the available data) and Abstracts Views on Vision4Press platform.

Data correspond to usage on the plateform after 2015. The current usage metrics is available 48-96 hours after online publication and is updated daily on week days.

Initial download of the metrics may take a while.