Free Access

Fig. 9

image

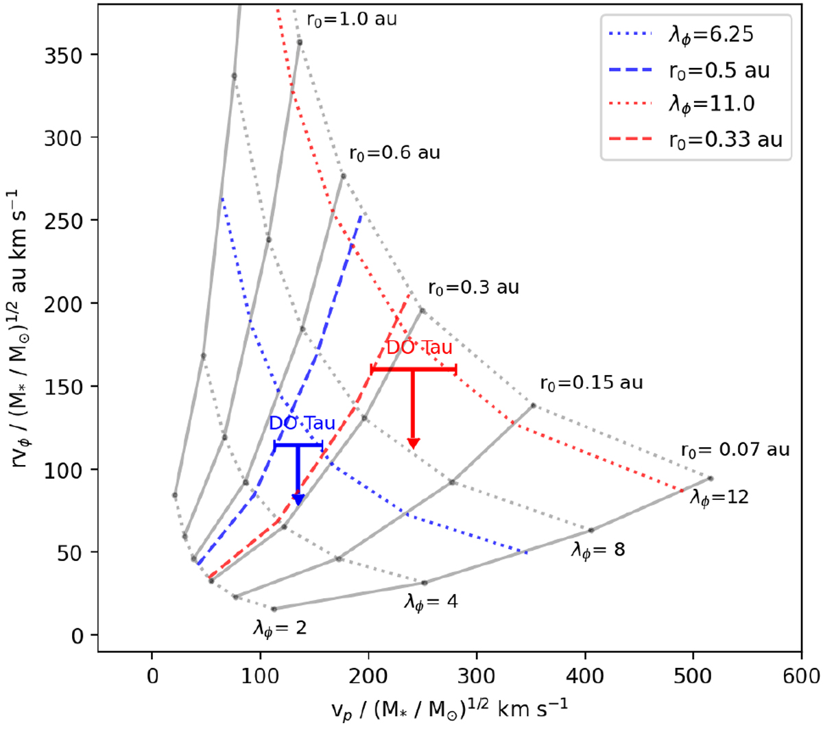
Parameter space of the magnetic lever arm parameter, λϕ, and jet launching radius, r0, predicted for steady magneto-centrifugal disk winds, based on the relationship between jet kinematics, rvϕ and vp (see Ferreira et al. 2006). DO Tau blue- and red-shifted jet kinematics are plotted, with 1σ errors, revealing theoretical λϕ and r0 upper limits.

Current usage metrics show cumulative count of Article Views (full-text article views including HTML views, PDF and ePub downloads, according to the available data) and Abstracts Views on Vision4Press platform.

Data correspond to usage on the plateform after 2015. The current usage metrics is available 48-96 hours after online publication and is updated daily on week days.

Initial download of the metrics may take a while.