Free Access

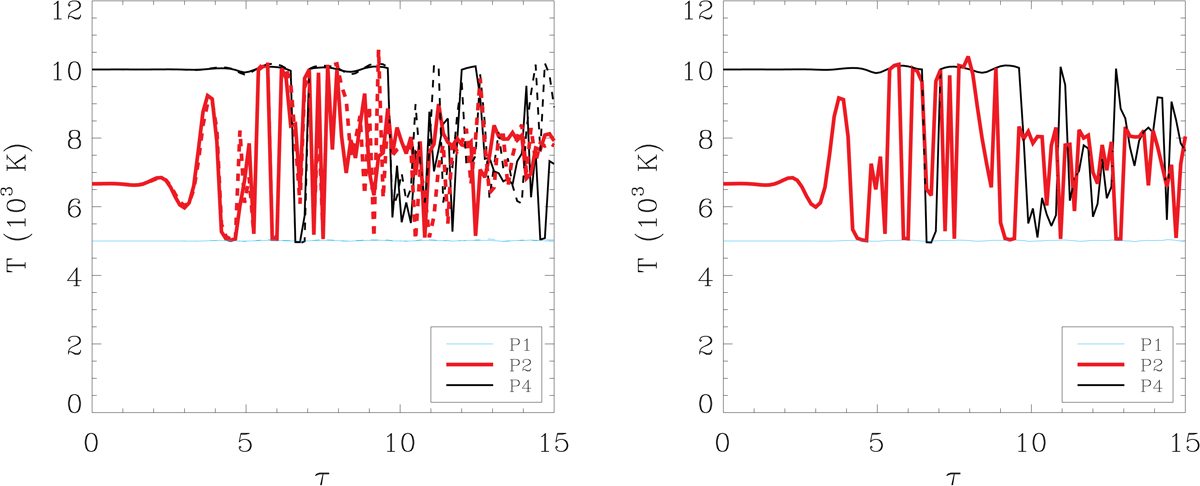
Fig. 6.

image

Temperature as a function of time at points P1 (blue thin line), P2 (red thick line) and P4 (black line). Solid lines represent the temperature of the charged fluid while dashed lines represent the temperature of the neutral fluid. Left and right panels: cases with αeff = 0 and αeff = α.

Current usage metrics show cumulative count of Article Views (full-text article views including HTML views, PDF and ePub downloads, according to the available data) and Abstracts Views on Vision4Press platform.

Data correspond to usage on the plateform after 2015. The current usage metrics is available 48-96 hours after online publication and is updated daily on week days.

Initial download of the metrics may take a while.