Open Access

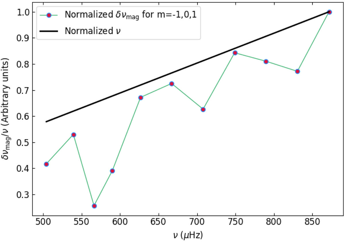
Fig. 13.

image

Normalised magnetic splittings of the p − m modes versus mixed-mode frequencies computed for a simulated M = 1.5 M, Z = 0.02, νmax ≃ 750 μHz subgiant. The normalised power law following ν is superimposed in black.

Current usage metrics show cumulative count of Article Views (full-text article views including HTML views, PDF and ePub downloads, according to the available data) and Abstracts Views on Vision4Press platform.

Data correspond to usage on the plateform after 2015. The current usage metrics is available 48-96 hours after online publication and is updated daily on week days.

Initial download of the metrics may take a while.