Open Access

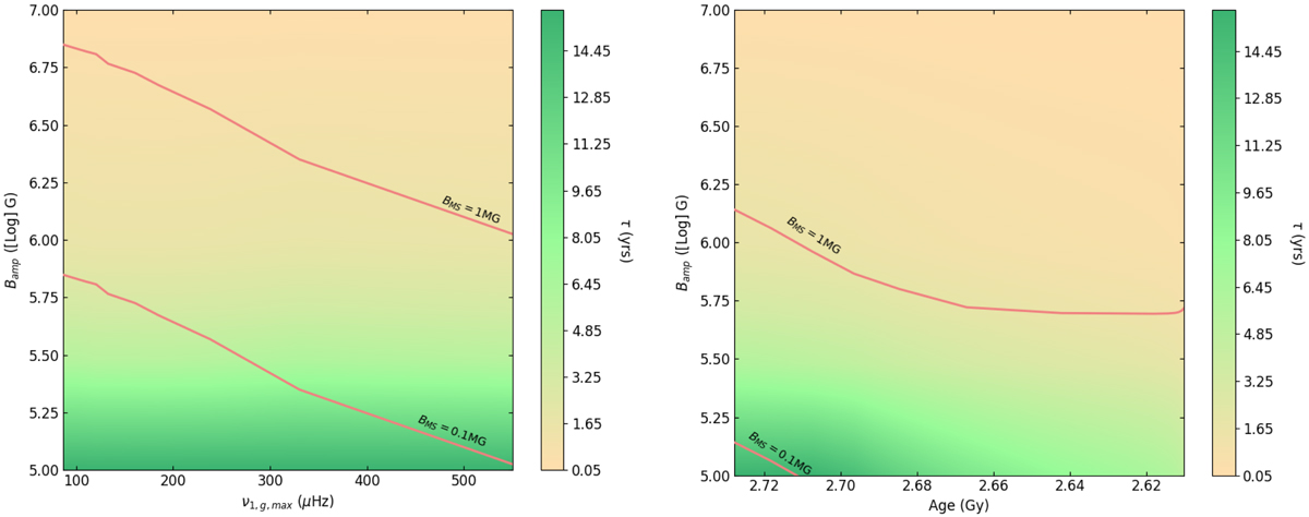
Fig. 15.

image

Characteristic time of angular momentum transport τ in years as expressed by Eq. (74), depending on the given evolutionary stage and the magnetic field amplitude. The magnetic field amplitude expected at each stage from the conservation of flux from the end of the MS is indicated by red lines for BMS = 0.1 and 1 MG. Left: transport along the RGB with ν1, g, max as the abscissa. Right: transport along the subgiant branch with age as the abscissa.

Current usage metrics show cumulative count of Article Views (full-text article views including HTML views, PDF and ePub downloads, according to the available data) and Abstracts Views on Vision4Press platform.

Data correspond to usage on the plateform after 2015. The current usage metrics is available 48-96 hours after online publication and is updated daily on week days.

Initial download of the metrics may take a while.