Free Access

Fig. 2

image

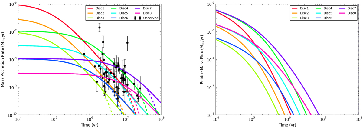
Left: Stellar mass accretion rates * for disc models 1–8 from Table 1 (Eq. (14)). The accretion is exponentially reduced after the critical mass accretion rate of 10−9 M yr−1 is reached (dashed lines). The black circles with error bars are observed stellar accretion rates from Sicilia-Aguilar et al. (2010) (data courtesy of Sicilia-Aguilar). Right: corresponding pebble mass fluxes F (Eq. (25)).

Current usage metrics show cumulative count of Article Views (full-text article views including HTML views, PDF and ePub downloads, according to the available data) and Abstracts Views on Vision4Press platform.

Data correspond to usage on the plateform after 2015. The current usage metrics is available 48-96 hours after online publication and is updated daily on week days.

Initial download of the metrics may take a while.