Free Access

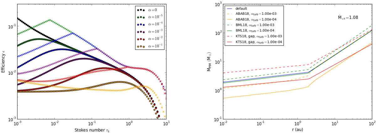
Fig. 3

image

Left: pebble accretion efficiency ϵ and the Stokes number for different values of the vertical turbulence strength αturb. The figure uses the planet-to-star mass ratio of 3 × 10−7 (i.e. ~ 0.1 ME for a Sun-like star), the gas disc aspect ratio of hg = 0.03, and the disc radial pressure gradient of η = 1.0 × 10−3 as in Fig. 4 of Ormel & Liu (2018). Circles show ϵ from Ormel & Liu (2018) and crosses show corresponding ϵ from Ida et al. (2016). Right: pebble isolation masses estimated by Ataiee et al. (2018; orange) and Bitsch et al. (2018; green), compared with our default case from Ida et al. (2016; blue). Also plotted are the critical migration transition masses (Eq. (10), red).

Current usage metrics show cumulative count of Article Views (full-text article views including HTML views, PDF and ePub downloads, according to the available data) and Abstracts Views on Vision4Press platform.

Data correspond to usage on the plateform after 2015. The current usage metrics is available 48-96 hours after online publication and is updated daily on week days.

Initial download of the metrics may take a while.