Fig. 5

image

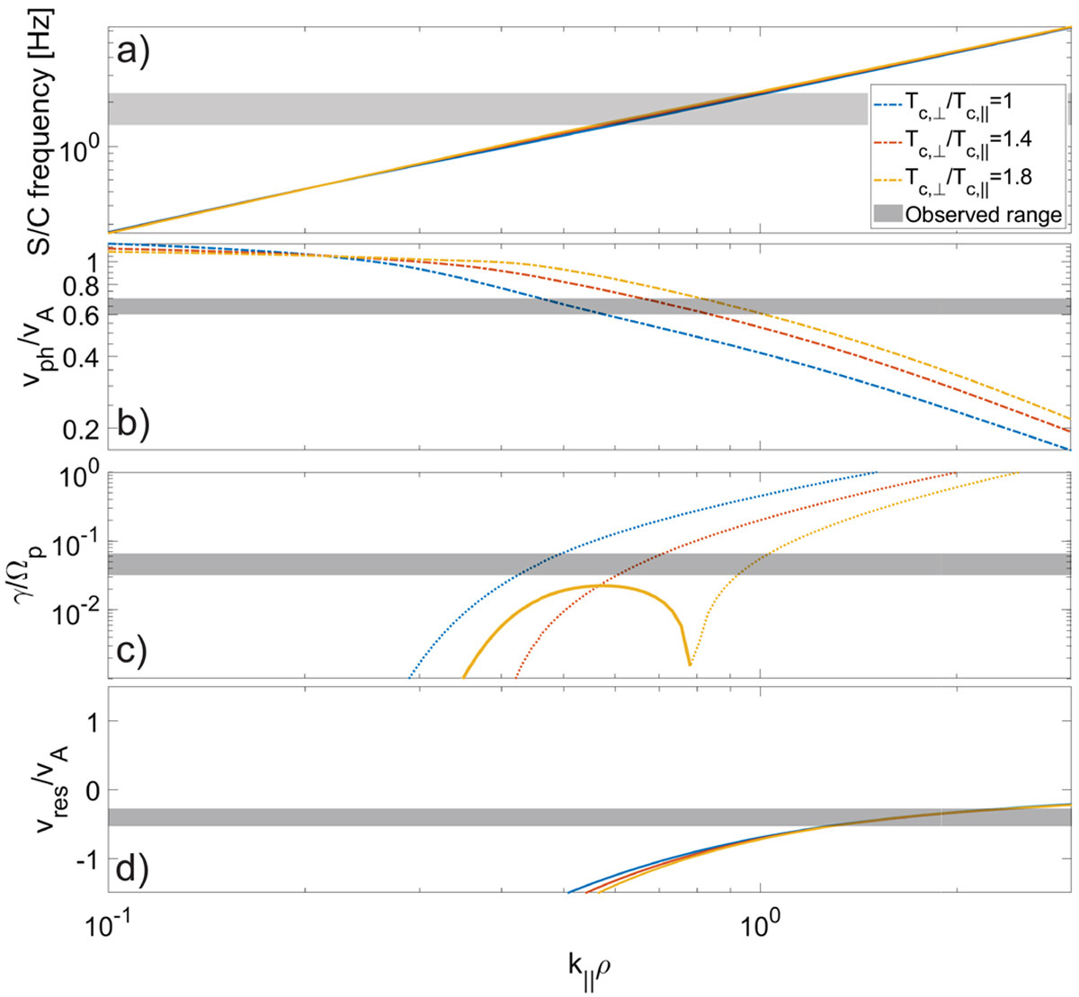
Overview of the PLUME dispersion solution for forward propagating Alfvén/IC modes for varying T⊥,cT∥,c. Panel a: Doppler shifted frequency, panel b: phase speed normalized by the Alfvén speed. Panel c: normalized growth (solid line) or damping (dashed) rate γ∕Ωp, which strongly depends on the temperature anisotropy. Panel d: ratio of the resonant velocity normalized by the Alfvén speed.

Current usage metrics show cumulative count of Article Views (full-text article views including HTML views, PDF and ePub downloads, according to the available data) and Abstracts Views on Vision4Press platform.

Data correspond to usage on the plateform after 2015. The current usage metrics is available 48-96 hours after online publication and is updated daily on week days.

Initial download of the metrics may take a while.