Fig. 3

image

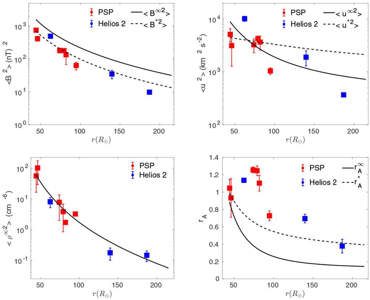
Comparison between theoretical and observed turbulent quantities as a function of heliocentric distance. Top left and right panels: fluctuating magnetic and kinetic energy. Bottom left and right panels: variance of the density fluctuations and the Alfvén ratio, respectively. The convention for the curves is the same as used in Fig. 2.

Current usage metrics show cumulative count of Article Views (full-text article views including HTML views, PDF and ePub downloads, according to the available data) and Abstracts Views on Vision4Press platform.

Data correspond to usage on the plateform after 2015. The current usage metrics is available 48-96 hours after online publication and is updated daily on week days.

Initial download of the metrics may take a while.