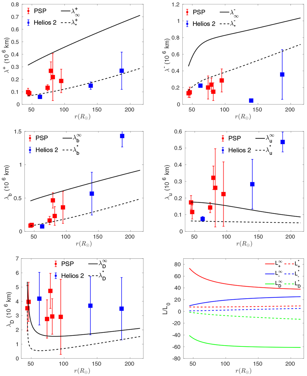
Fig. 4

image

Correlation length and the correlation function as a function of heliocentric distance. Top left: correlation length corresponding to forward propagating modes. Top right: correlation length corresponding to backward propagating modes. Middle left: correlation length of magnetic field fluctuations. Middle right: correlation length of velocity fluctuations. Bottom left: correlation length of residual energy. Bottom right: correlation functions. The convention for the curve is the same as used in Fig. 2.

Current usage metrics show cumulative count of Article Views (full-text article views including HTML views, PDF and ePub downloads, according to the available data) and Abstracts Views on Vision4Press platform.

Data correspond to usage on the plateform after 2015. The current usage metrics is available 48-96 hours after online publication and is updated daily on week days.

Initial download of the metrics may take a while.