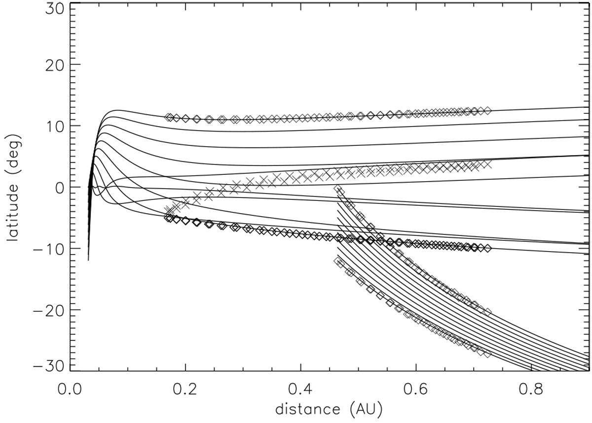
Fig. 3
 
      Similar to Fig. 2, but for the 100–140 nm dust with β = 0.751. All trajectories shown start from the southern hemisphere with initial latitudes between −12° and −(4/33)° (the trajectories starting from the northern hemisphere are not shown). The orbit of PSP is now within the region crossed by one of the trajectory groups.
Current usage metrics show cumulative count of Article Views (full-text article views including HTML views, PDF and ePub downloads, according to the available data) and Abstracts Views on Vision4Press platform.
Data correspond to usage on the plateform after 2015. The current usage metrics is available 48-96 hours after online publication and is updated daily on week days.
Initial download of the metrics may take a while.
