Fig. 4

image

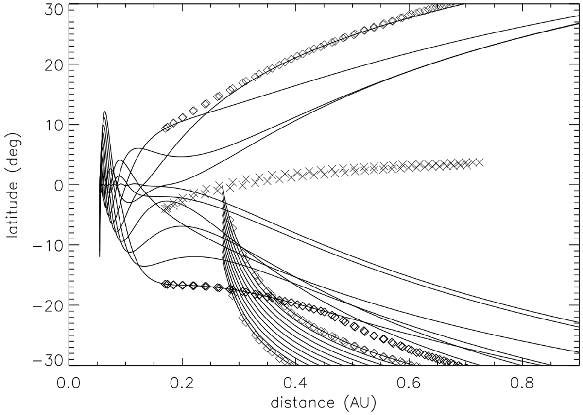
Same as Fig. 3, but for the 30–40 nm dust with high β = 0.901 corresponding to the cometary material. A high radiation pressure force reduces the poloidal drift; however, the impacts on more distant parts of the orbit of PSP would be rare.

Current usage metrics show cumulative count of Article Views (full-text article views including HTML views, PDF and ePub downloads, according to the available data) and Abstracts Views on Vision4Press platform.

Data correspond to usage on the plateform after 2015. The current usage metrics is available 48-96 hours after online publication and is updated daily on week days.

Initial download of the metrics may take a while.